Brain health
Back

Health Needs

Discover natural solutions for the biggest global health challenges of our time.

Go to section
Back

Products

100+ years of botanical excellence mean a wide range of botanical derivatives. Search for them.

Go to section
Back

Things to watch

Go to section
Back

Media and news

Here is the right place where you can read all the latest news and information about Indena’s world.

See through science

See through science

Ubiqsome®

Ubiqsome®

Scroll to see more

Peer-reviewed science on Ubiqsome®

Protection from statin-induced adverse effects in the muscles1

A double blind randomized, placebo-controlled clinical study enrolled 60 elderly cardiovascular subjects affected by statin-associated asthenia, to assess the effects on muscle strength of chronic dietary supplementation with CoQ10 Phytosome™. At each time step for 8 weeks, the treated group and the placebo group were administered 3 physical tests: handgrip test (HG), 1-minute sit-to-stand repetition (STS), 2-minute step test (2MST). After the tests, subjects’ asthenia levels were measured using the Visual Analogue Scale. At the end of the study, people following the Ubiqsome® supplementation regimen (150 mg of Ubiqsome® twice a day) experienced significant improvements in asthenia (-30.0±20.0%), HGs (+29.8±3.6%), 1-min STS repetitions (+36.4±3.9%), and 2MST (11.1±1.8%)(p <0.05 versus baseline and versus placebo) (Figure 1).

ubiqsome_01-2024

Figure 1: HGs, VAS,1-min STS repetitions, and 2MST in treated and placebo groups at baseline and after 8 weeks.

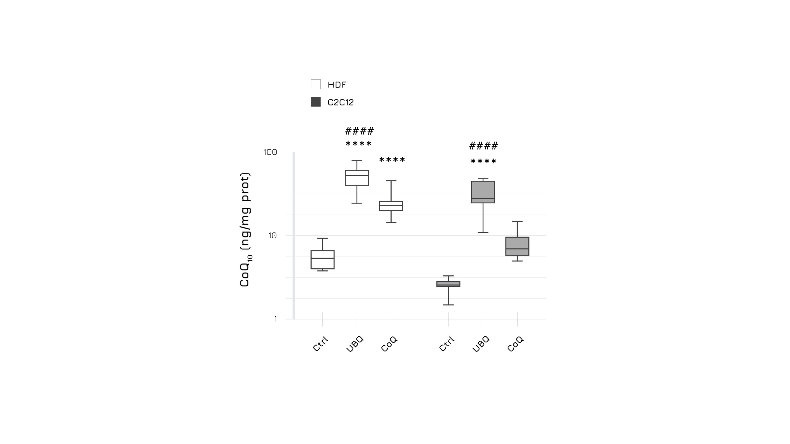
Increased cellular uptake in dermal and muscle cells2

In an ex-vivo study, the Phytosome™ formulation of Ubiqsome® demonstrated significantly higher absorption efficiency in human dermal cells and murine myoblasts. Low-density lipoproteins (LDL) were taken from the plasma of subjects who received either the Phytosome™ formulation (Ubiqsome®) or the crystalline form of CoQ10, and were incubated with both cell lines. The Phytosome™ delivery system demonstrated superior bioabsorption and cellular uptake. This resulted in CoQ10 being delivered to human dermal fibroblasts and murine myoblasts at a rate that was twice and four times more efficient, respectively, than traditional CoQ10 formulations (Figure 2).

ubiqsome-01_2023

Figure 2: Cellular CoQ10 levels in human dermal fibroblasts (HDF) and murine skeletal myoblasts (C2C12) treated with enriched LDL derived from the plasma of volunteers supplemented with Ubiqsome® (UBQ) or crystalline CoQ10 (CoQ).

Endothelial protection for cardiovascular health3

A double-blind, randomized, placebo-controlled, crossover study on healthy, non-smoker young subjects (n=20, aged 18-40) has shown an optimization of endothelial function (measured as pulse volume) and antioxidant capacity activity (TAC) after Ubiqsome® administration (150 mg twice a day) in both acute (after 2 hours) and chronic (4 weeks) settings (Figures 3,4).

ubiqsome-06

Figure 3: Acute evaluation of pulse volume, 2 hours after administration of Ubiqsome® or placebo.

ubiqsome-03_2023

Figure 4: Long-term evaluation of pulse volume and TAC, 4 weeks after administration of Ubiqsome® or placebo.

Higher solubility
and plasma concentration4

A study evaluating the solubility and oral absorption of Ubiqsome® in human volunteers has shown better bioavailability of coenzyme Q10 with Phytosome compared to the non-phytosomical formulation of CoQ10.

After 14 days, the administration of 2 capsules allowed for an increase in CoQ10 plasma concentration levels by 1.321 μg/ml (+116%), about 1.5 times greater than the administration of 1 capsule.

 

ubiqsome-02

Figure 5CoQ10 plasma levels after CoQ10 and CoQ10 Phytosome administrations in a single-dose study in volunteers.




ubiqsome-01

Figure 6: CoQ10 plasma levels after CoQ10 Phytosome administration in a repeated-dose study. Blue: CoQ10 Phytosome at the dose of 150 mg/day; Red: CoQ10 Phytosome at the dose of 300 mg/day.

Proved in a human study5

In a human study conducted on healthy athletes over 50 years old performing a complete training session in a climatic chamber, Ubiqsome® significantly optimized CoQ10 levels in plasma and muscles (Figure 7). Moreover, it improved the total antioxidant capacity (TAC) and favorably controlled biomarkers of oxidative stress and inflammation.

ubiqsome-03_ok-b

Figure 7: Effect of exercise and CoQ10 Phytosome supplementation on CoQ10 concentration in muscle.

Action starts from cells6

An in-vitro evaluation on muscular and intestinal cell lines has confirmed that macropinocytosis is the key mechanism for the internalization of Ubiqsome® at cellular level, since the use of a macropinocytosis inhibitor drastically reduced CoQ10 cellular content.

The same study also confirmed that the Phytosome delivery system enhances intracellular concentration of CoQ10, compared to the coenzyme alone (Figure 8).

ubiqsome-05

Figure 8: Coenzyme Q10 determination in different cell lines after product incubation.

BIBLIOGRAPHY
1Cicero at al, Journal of Hypertension 41.1 (2023): e152-e153
2Marcheggiani et al.; Antioxidants (2023); 12, 964.
3Cicero et al.; Biofactors (2022): 1-6.
4Petrangolini et al.; Current Drug Delivery (2019).
5Drobnic et al.; J Food Sci Nutr Res (2020); 3 (4): 262-275.
6Rizzardi et al.; Antioxidants (2021); 10.6: 927.

 

 

Indena - Science is our nature

Sorry, our website doesn't support IE11 and older versions

For a better experience try a modern browser:

Indena

Indena

This is a private file, to request the download of this resource, please fullfill the fields below.